PageRank - Übung
Übungsaufgabe zur Berechnung des PageRank
Berechnen Sie den PageRank für die Knoten der nachstehend abgebildeten Netzstrukturen als Vektor, indem Sie eine Iteration in 5 Schritten für die Matrix H der Übergangswahrscheinlichkeiten durchführen, wie es in der Vorlesung dargestellt wurde:
ri+1 = riH , i=0,…,4;
H = Hkl; Hkl steht für die Übergangswahrscheinlichkeit des Knoten Pk zum Knoten Pl;
k,l stehen für die Zahl der Zeilen und Spalten der Matrix H.
Beginnen Sie die Iteration mit einem Startvektor , der als Startwert für jeden der n Knoten 1/n enthält.
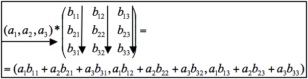
Benutzen Sie für die Multiplikation eines Vektors mit einer Matrix die Rechenregel (für andere Zeilen- und Spaltenzahlen entsprechend anpassen):
Vergleichen Sie das Ergebnis mit dem Rechner unter:
https://ixtrieve.fh-koeln.de/pagerank/
Benutzen Sie einen PageRank-Rechner im Web, z. B.
http://checkpagerank.net/
http://may.be/pagerank
um die PageRank-Werte für die Startseite einer Web-Site mit den Werten untergeordneter Seiten zu vergleichen.
Bestimmen Sie für die nachfolgend abgebildeten Netze unter Benutzung der Rechner
https://ixtrieve.fh-koeln.de/pagerank/
http://www.cs.sjsu.edu/faculty/pollett/masters/Semesters/Spring10/amith/HITS.html
die jeweiligen Werte für den PageRank bzw. die Werte für die Autoritätsknoten (authorities) sowie für die Netzknoten (hubs).
Benutzen Sie jeweils unterschiedliche Anzahlen von Iterationsschritten.
Vergleichen Sie die erzielten Ergebnisse hinsichtlich der jeweiligen Rangfolge der Knoten.




